Home > Primorial Soup > Description

Primorial Soup

AZsPCs | Primorial Soup | Description

A 60-Second Review of Graph Theory Terminology

A "graph" is a collection of "nodes", some pairs of which are connected by an "edge".

If every pair of nodes is connected by an edge, the graph is called a "complete graph". The complete graph with n nodes is denoted by Kn.

We can associate a value, called a "weight", with each edge.

Some examples:


A graph

A graph with weighted edges

K4

K4 with weighted edges

The Contest

For a graph where every edge has a weight, we define a node's "energy" to be the product of the weights of the edges attached to it. We also define the energy of the graph to be the sum of the node energies. For example:


1. Start with edge weights

2. Then calculate node energies

3. Then calculate graph energy

In this contest you are asked, for each value of n from 4 to 28 inclusive, to weight the edges of Kn using the first n(n-1)/2 primes. Your goal is to create and submit graphs with the smallest possible energy.

For each value of n you can submit more than one graph, but only your best graph will count.

See How to Enter, below, for instructions on how to submit graphs.

See The Scoring System, below, to learn how we determine the winner.

This contest was inspired by Stan Wagon's Problem of the Week 1241 Petersen Graph with Small Labels.


The Prizes

First prize: Any item, up to a $500 value, from Bathsheba Sculpture.
Second prize: Any item, up to a $100 value, from the same site.


How to Enter

Just paste your graphs into the large box on the Submit page and click the Submit Entry button. Format your graphs as follows:

  • Represent a graph by a comma-delimited list of nodes.

  • Represent a node by a comma-delimited list of edge weights enclosed in curly braces.

  • To submit more than one graph at a time, separate them with semicolons. Do not put a semicolon after your last graph.

  • Include spaces and line breaks anywhere you like (except within a number) to improve readability.

For example, if you wanted to submit this graph:

you could enter:

{2, 3, 7}, {2, 5, 11}, {3, 5, 13}, {7, 11, 13}


Look! A box! There must be something really important here!

This web site uses a server with very limited resources, so please make a reasonable effort to submit only graphs that improve on the graphs you've already submitted. If you are wondering what constitutes "reasonable", consider the following:

  • It is reasonable that while you are debugging you will submit some graphs that aren't improvements.

  • It is reasonable that you will occasionally submit a non-improvement by accident.

  • It is not reasonable that you routinely submit graphs without knowing if they are improvements.

  • It is not reasonable that, whenever you find an improved graph for some n, you submit all 25 of your best graphs even though only one is an improvement.

Your cooperation is greatly appreciated.


The Scoring System

The Formula

The entrant with the highest contest score wins. Here's how we calculate your contest score:

  • For each of the 25 values of n, there is a target energy. The formula for calculating target energies is in the FAQ section, below.

  • For each of the 25 values of n, we find your best graph. Your raw score for that n is the amount by which the graph's energy exceeds the target energy.

  • For each of the 25 values of n, we compute a subscore from 0 to 1. We do this by dividing your raw score for that n into the smallest raw score for that n by any entrant.

  • Your contest score is the sum of your 25 subscores.

If two entrants have the same contest score, we break the tie by giving preference to the entrant whose last improvement was submitted least recently.

An Example

Let's walk through a simplified example. Suppose that we modify the contest by asking you to submit graphs for only three values of n: 4, 5 and 6.

The target energies are:

4 nodes 5 nodes 6 nodes
Target energy 694 42008 5102117

Further suppose that we have 3 entrants (Elizabeth, Angelica and Peggy) and that their best graphs have these energies.

4 nodes 5 nodes 6 nodes
Elizabeth 800 60000 8000000
Angelica 1000 50000 7000000
Peggy 900 70000 6000000

The entrants' raw scores are therefore:

4 nodes 5 nodes 6 nodes
Elizabeth 106 17992 2897883
Angelica 306 7992 1897883
Peggy 206 27992 897883

We note the smallest raw score for each value of n, as follows:

4 nodes 5 nodes 6 nodes
Smallest Raw Score 106 7992 897883

Finally, we compute the subscores and contest score for each entrant:

4 nodes 5 nodes 6 nodes Contest Score
Elizabeth 106 / 106 = 1.000 7992 / 17992 = 0.444 897883 / 2897883 = 0.310 1.754
Angelica 106 / 306 = 0.346 7992 / 7992 = 1.000 897883 / 1897883 = 0.473 1.820
Peggy 106 / 206 = 0.515 7992 / 27992 = 0.286 897883 / 897883 = 1.000 1.800

Angelica has the highest contest score and therefore wins.

A shout-out goes to the first person who, without resorting to Google, Wikipedia or any other information source (online, physical, human or supernatural), can tell us who Elizabeth, Angelica and Peggy are. Creative guesswork is encouraged. Post your answer in the discussion group..


Getting Your Questions Answered

First, check the FAQ section below. If you can't find the information you need there, send your question to the discussion group. If your question is of a personal nature, and not of general interest, send an email directly to Al Zimmermann.


The Discussion Group

If you think you might enter the contest, you should join the contest discussion group. You can join either by sending a blank email here or by visiting the group on groups.io. The discussion group serves two purposes. First, it allows contestants to ask for clarifications to the rules. Be aware that sometimes these requests result in changes to the rules, and the first place those changes are announced is in the discussion group. Second, the discussion group allows contestants to interact with each other regarding programming techniques, results and anything else relevant to the contest.


My Lawyer Would Want Me To Say This

I reserve the right to discontinue the contest at any time. I reserve the right to disqualify any entry or entrant for any reason that suits me. I reserve the right to interpret the rules as I see fit. I reserve the right to change the contest rules in mid-contest. In all matters contest-related, my word is final.


Frequently Asked Questions

  • Does every edge weight in a submitted graph have to be unique or can an edge weight be used multiple times?

    In this contest every edge weight in a graph must be unique within that graph.

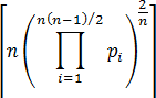
  • How are the target energies calculated?

    The target energy for n is

    where pi is the ith prime.

    For example, the target energies for n = 1, 2, 3 and 4 are 1, 4, 29 and 694, respectively.

  • Can teams enter the contest?

    Yes. But a team can only be formed by those who have not already entered the contest as individuals. Once you enter as an individual, team membership is no longer open to you. Likewise, once you've joined a team you can't break away and start submitting graphs on your own behalf.

    If you would like to form a team, please follow these instructions:

    • If they do not already exist, create individual accounts for each team member. Do not create a second account for any team member who already has one.

    • Let me know each team member's registered email address. It is important that no team member submit any entries to this contest until I notify you that the team has been created and that it is okay to begin submitting.

    • After I've created the team, team members can submit entries to the contest from their individual accounts. The contest engine automatically intercepts these entries and diverts them to the team account. The team is listed on the standings page.

    • Note: Teams are contest-specific. Joining a team for this contest does not affect your participation in other contests.
  • May I write a program that submits entries by bypassing my browser?

    Yes and no. If your program keeps track of your submissions and only submits improved graphs, yes. Otherwise, no. For the Son of Darts contest a few years ago, there was one participant who wrote a program to exhaustively generate all possible solutions and submit every one of them. Within two weeks he'd submitted over a million entries. The AZsPCs database had grown to 10 times its normal size and this individual was single-handedly responsible for 90% of the entries in the database. Please compute responsibly.

  • I've written a little program that draws graphs and highlights the nodes with the highest and lowest energies. May I distribute the executable to other contestants?

    No. This is a programming contest and writing useful tools is something a programmer should be able to do for himself. That alone is sufficient reason to disallow the distribution of such tools, but consider also that you'd be disadvantaging those who don't hear about your tool and those who can't run your executable in their environment.

  • What topics are appropriate for the discussion group?

    With only one exception, if it's related to AZsPCs then it's fine to talk about it in the discussion group. The exception is spoilers. Spoilers include:

    • specific graphs
    • detailed algorithms

    If you are not sure if something would be considered a spoiler, ask me.

  • After I submit a graph, the scorer shows me the graph's "canonical representation". What is that?

    To create a canonical representation of a graph, the scorer sorts its nodes by their energy and the node's edges by their weight. Representing graphs canonically makes it easier to notice when two seemingly different graphs are fundamentally the same.

  • Why is this contest called Primorial Soup? Did you mean Primordial with a 'd'?

    Primorial is a mathematical function. The primorial of n is the product of the primes less than or equal to n. It is written n#. Check it out at Mathworld.